首页
2024-11-09 09:54:08
高等数学一(专升本)
A、y=2
B、y=-2
C、y=1
D、y=-1
【正确答案】:D
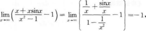
【题目解析】:
【考情点拨】本题考查了曲线的水平渐近线的知识点.【应试指导】
上一篇:
下列函数中,在x=0处可导的是( )
下一篇: