首页
2024-11-09 09:54:00
高等数学一(专升本)
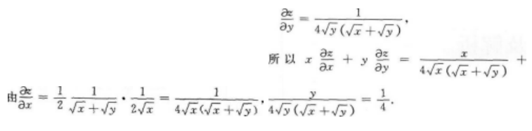
【正确答案】:
上一篇:
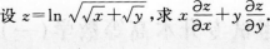
求函数f(x,y)=e2x(x+y2+2y)的极值.?
下一篇: