首页
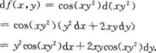
设f(x,y)=sin(xy2),则df(x,y)= .
2024-11-09 09:53:56
高等数学一(专升本)
设f(x,y)=sin(xy2),则df(x,y)= .
【正确答案】:
【应试指导】
【题目解析】:核心考点是复合函数求偏导。第一个填空考察对 x 求偏导,第二个填空考察对 y 求偏导,通过这两个填空全面考查对复合函数求导法则的掌握。
上一篇:
微分方程y''+y=0的通解是 .
下一篇: