首页
2024-11-09 09:53:50
高等数学一(专升本)
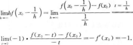
【正确答案】:
【答案】-1【考情点拨】本题考查了利用导数定义求极限的知识. 【应试指导】
上一篇:
函数y=cosx在[0,2x]上满足罗尔定理,则ξ= .
下一篇: