首页
2024-11-09 09:53:28
高等数学一(专升本)
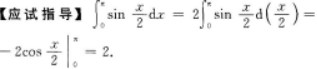
【正确答案】:
【答案】2【考情点拨】本题考查了定积分的知识点.
上一篇:
下一篇: