首页
2024-11-09 09:53:22
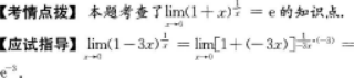
高等数学一(专升本)
【正确答案】:
【答案】e-3
上一篇:
若函数 (x)=x-arctanx,则 ′(x)=_________.
下一篇:
若y=e2x,则dy=_________.