首页
2024-11-09 09:52:54
高等数学一(专升本)
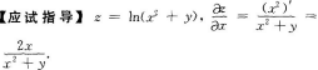
【正确答案】:
【答案】
【考情点拨】本题考查了二元函数偏导数的知识点.
上一篇:
已知曲线y=x2+x-2的切线ι斜率为3,则ι的方程为_________.
下一篇: