首页
2024-11-09 09:52:44
高等数学一(专升本)
【正确答案】:
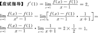
【答案】1【考情点拨】本题考查了一阶导数的知识点.
上一篇:
下一篇: