首页
2024-11-09 09:52:42
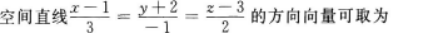
高等数学一(专升本)
A、(3,-1,2)
B、(1,-2,3)
C、(1,1,-1)
D、(1,-1,-1)
【正确答案】:A
【题目解析】:
【考情点拨】本题考查了直线方程的方向向量的知识点.
上一篇:
下一篇: