首页
2024-11-09 09:52:17
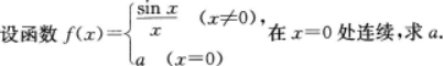
高等数学一(专升本)
【正确答案】:
上一篇:
下一篇:
求曲线y=x3-3x+5的拐点.?