首页
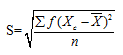
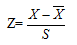
教育研究的定量分析中需要使用不同的数据特征值。其中,标准分数的计算公式是( )
2024-11-08 22:07:43
小学教育研究方法(14448-xj)
1
教育研究的定量分析中需要使用不同的数据特征值。其中,标准分数的计算公式是( )
A、
B、
C、
D、
【正确答案】:B
上一篇:
对样本个体进行聚类称作 ( )
下一篇:
在相对次数分布表中,所有相对次数相加的和应当等于 ( )