【正确答案】:
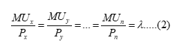
(1)基数效用论者认为,一定时期内,消费者实现其效用最大化的条件是:消费者用最后一单位货币所购买的各种产品的边际效用都相等,或者说,消费者用所有预算所购买的各种产品的边际效用与其价格之比都相等,满足方程式:
(2)序数效用论者在分析消费者行为和效用最大化均衡时,使用无差异曲线和预算线,前者说明消费者的偏好,后者说明消费者的约束,能够给消费者带来最大效用的物品组合必然位于无差异曲线与预算线的切点处,满足方程式:
P48-P53
(1)基数效用论者认为,一定时期内,消费者实现其效用最大化的条件是:消费者用最后一单位货币所购买的各种产品的边际效用都相等,或者说,消费者用所有预算所购买的各种产品的边际效用与其价格之比都相等,满足方程式:
(2)序数效用论者在分析消费者行为和效用最大化均衡时,使用无差异曲线和预算线,前者说明消费者的偏好,后者说明消费者的约束,能够给消费者带来最大效用的物品组合必然位于无差异曲线与预算线的切点处,满足方程式:
P48-P53