根据表格中的股票信息完成以下习题:注:股价单位:元,成交量单位:百万股(1)用简单算术平均法求股价指数。(2)用综合平均法求股价

根据表格中的股票信息完成以下习题:注:股价单位:元,成交量单位:百万股(1)用简单算术平均法求股价指数。(2)用综合平均法求股价指数。(3)用加权综合法求股价指数(派氏指数和拉式指数)。(4)假设在报告期股票A、股票C分别以1:2和1:4比例拆股,求新除数及股价平均数。(5)假设报告期股票A、B、C、D的发行量分别为5000、6000、7000、8000(单位:百万股),且为上市交易的所有股票,求报告期市价总额。 
(1)用简单算术平均法求股价指数。 (2)用综合平均法求股价指数。 (3)用加权综合法求股价指数(派氏指数和拉式指数)。 (4)假设在报告期股票A、股票C分别以1:2和1:4比例拆股,求新除数及股价平均数。 (5)假设报告期股票A、B、C、D的发行量分别为5000、6000、7000、8000(单位:百万股),且为上市交易的所有股票,求报告期市价总额。


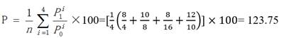
【正确答案】:

(1)             (2)   (3)   (4)   (5)市价总额=8×5000+10×6000+8×7000+12×8000=252000元