• 首页

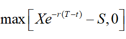
无收益资产欧式看涨期权价格的下限为( )

  • 2024-11-07 17:58:18
  • 投资学原理(重庆)(07250-cq)
无收益资产欧式看涨期权价格的下限为( )
A、
B、
C、
D、
【正确答案】:A
上一篇:当无风险利率为0时,下列关于看涨-看跌期权平价关系式的描述哪一项是正确的( )
下一篇:一个无红利支付股票的看涨期权,期限为6个月,执行价格为$50,股票价格为$60,无风险年利率为10%。它的价格下限为多少?(

最新文章

  • 幼儿园语言活动方案10篇
  • 幼儿园食堂食品安全承诺书10篇
  • 幼儿园音乐《热热闹闹的大街上》教案10篇
  • 幼儿学前教育心得体会10篇
  • 幼儿园说课稿健康10篇
  • 幼儿大班下学期教学计划10篇
  • 幼儿学期班级工作计划10篇
  • 幼儿园见习报告10篇
  • 幼儿大班班务工作计划10篇
  • 幼儿教师工作心得10篇

推荐文章

友情链接