首页
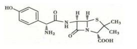
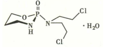
请写出下列结构的药物的通用名称:(1)()(2)()
2024-11-07 16:37:44
药物化学(本)(14550)
请写出下列结构的药物的通用名称:
(1)()
(2)()
【正确答案】:阿莫西林,环磷酰胺
上一篇:
四环素禁用于8岁以下儿童,因其与()离子结合,形成难溶性络合物,沉积在牙齿和骨骼上,造成牙齿染黄,此不良反应称为()。
下一篇:
布洛芬具有1个手性中心,市售外消旋体,其无效的()异构体在体内转化为活性强的()异构体。