首页
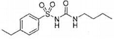
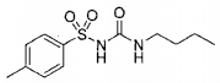
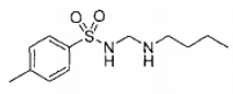
口服降糖药物甲苯磺丁脲的结构式为
2024-11-07 16:34:17
药物化学(本)(14550)
口服降糖药物甲苯磺丁脲的结构式为
A、
B、
C、
D、
【正确答案】:B
【题目解析】:B项为甲苯磺丁脲的结构式,有甲基取代的苯基存在。
上一篇:
葡萄糖苷酶抑制剂降低血糖的作用机制是
下一篇:
调血脂药物阿托伐他汀的作用机理是