首页
左氧氟沙星的结构是
2024-11-07 16:33:48
药物化学(本)(14550)
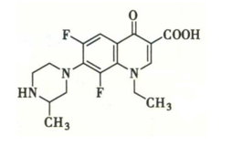
左氧氟沙星的结构是
A、
B、
C、
D、
【正确答案】:B
上一篇:
属于氨基糖苷类抗生素的是
下一篇:
药物与受体之间进行不可逆的牢固结合是通过哪种化学键形成?