首页
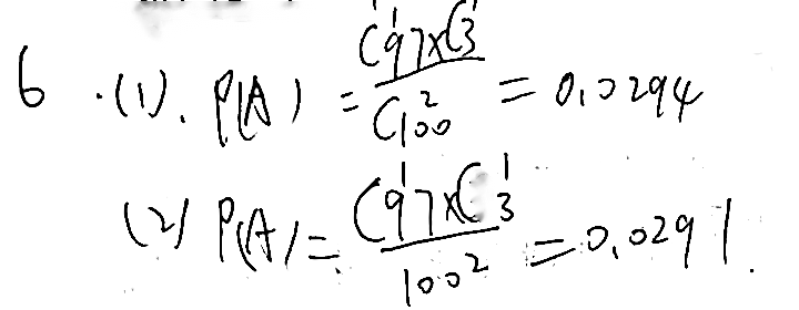
一批产品共有100件,其中3件次品.现从这批产品中接连抽取两次,每次抽取一件,考虑两种情况:(1)不放回抽样,第一次取一件不放回
2024-11-07 16:29:33
概率论与数理统计(工)(13174)
一批产品共有100件,其中3件次品.现从这批产品中接连抽取两次,每次抽取一件,考虑两种情况:(1)不放回抽样,第一次取一件不放回,第二次再抽取一件;(2)放回抽样,第一次取一件检查后放回,第二次再抽取一件.试分别针对上述两种情况,求事件A“第一次抽到正品,第二次抽到次品”的概率.
【正确答案】:
(1)P(A)=97/100×3/99;(2)P(A)=97/100×3/100.
上一篇:
抛一枚均匀硬币3次,设事件A表示“恰有1次出现正面”,B表示“3次均出现正面”,C表示“至少一次出现正面”,试求P(A),P(B
下一篇:
设P(A)=0.7,P(B)=0.6,P(A-B)=0.3,求