首页
2024-11-07 16:20:38
概率论与数理统计(工)(13174)
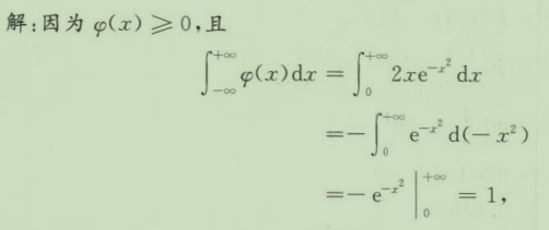
【正确答案】:
上一篇:
下一篇:
设连续型随机变量X的分布函数为求常数A与B。