首页
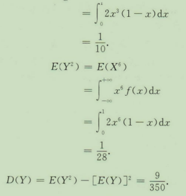
设X的密度函数为求Y=X³的期望与方差。
2024-11-07 16:20:12
概率论与数理统计(工)(13174)
设X的密度函数为
求Y=X³的期望与方差。
【正确答案】:
上一篇:
某产品的次品率为0.1,检验员每天检验5次,每次随机地抽取10件产品,如果发现其中的次品数多于1,就通知值班工人调整机器,求一天
下一篇:
若X的密度函数为求E(X),D(X)。