• 首页

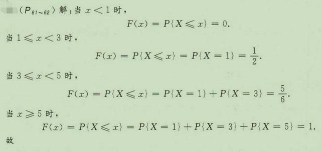
设随机变量X的分布律为求X的分布函数F(x)。

  • 2024-11-07 16:19:49
  • 概率论与数理统计(工)(13174)

设随机变量X的分布律为

求X的分布函数F(x)。


【正确答案】:

上一篇:随机变量(X,Y)在矩形区域D={(x,y)丨a≤x≤b,c≤y≤d}内服从均匀分布。求:(1)联合密度函数f(x,y);(2)
下一篇:某车间生产的滚珠直径服从正态分布N(μ,0.05),现从某天的产品中随机抽取5个滚珠,测得直径如下:(单位:mm)14.6,15

最新文章

  • 小张与小李是一对夫妻,二人来自不同的外省县城,通过卓绝努力考大学进而留在省城工作。结婚后,双方类似的成长经历使他们达成共识:一定
  • 19世纪,向中国大肆走私鸦片的主要国家是()
  • 请结合具体事例,阐述中国传统工艺的创新方法。
  • 服务的流程是
  • 贯彻落实“安全第一,预防为主”方针的主要手段是
  • 项目可行性研究之后,要撰写项目建议书。
  • blood type
  • 中国共产党第一次明确提出反帝反封建民主革命纲领的会议是( )。
  • 素混凝土结构的混凝土强度等级不应低于
  • 昼から天気が_____なりました。

推荐文章

友情链接