首页
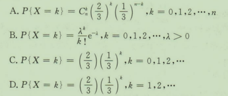
某射手对目标独立地进行射击,直到击中为止,设每次击中的概率为2/3,X表示击中目标前的射击次数,则X的分布律为
2024-11-07 16:15:48
概率论与数理统计(工)(13174)
某射手对目标独立地进行射击,直到击中为止,设每次击中的概率为2/3,X表示击中目标前的射击次数,则X的分布律为
A、A
B、B
C、C
D、D
【正确答案】:C
【题目解析】:本题主要考查的知识点是随机变量的分布律,若击中目标前射击了k次,则未击中目标的概率出现了k次,故所求概率P{X=k}=(2/3)(1/3)
k
,k=0,1,2,・・・P55-56
上一篇:
设随机变量X的分布律为则常数α=
下一篇:
设一次试验中A发生的概率为0.8,重复进行n次试验,则事件A至少发生一次的概率为