首页
2024-11-07 16:15:38
概率论与数理统计(工)(13174)
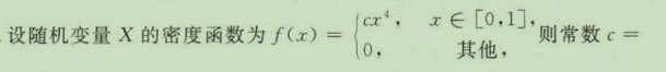
1
A、1/5
B、1/4
C、4
D、5
【正确答案】:D
【题目解析】:
上一篇:
下一篇:
X为连续型随机变量,f(x)为其概率密度,则