首页
2024-11-07 16:13:54
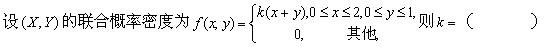
概率论与数理统计(工)(13174)
A、1/3
B、1/2
C、1
D、3
【正确答案】:A
上一篇:
己知随机变量X~N(0,1),则随机变量Y=2X-1的方差为()
下一篇: