首页
2024-11-07 12:08:58
直播电商(实践)(14893)
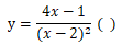
1
A、只有水平渐近线
B、只有铅直渐近线
C、既有铅直渐近线又有水平渐近线
D、没有渐近线
【正确答案】:C
【题目解析】:
本题主要考查的知识点是曲线的渐近线,
上一篇:
下一篇: