首页
求下列极限:
2024-11-07 12:08:17
直播电商(实践)(14893)
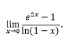
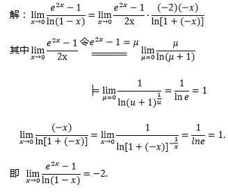
求下列极限:
【正确答案】:
上一篇:
求下列极限:
下一篇:
在给定的变化过程中,下列函数哪些是无穷小量?哪些是无穷大量?f(x)=sin(1/x),x→0