首页
求下列极限:
2024-11-07 12:08:13
直播电商(实践)(14893)
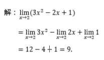
求下列极限:
【正确答案】:
上一篇:
求下列函数在x=0处的左极限与右极限,并说明在x=0处的极限是否存在.
下一篇:
求下列极限: