• 首页

  • 2024-11-07 12:08:10
  • 直播电商(实践)(14893)
  • 1

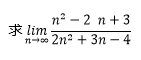
【正确答案】:
上一篇:当x→0时,在下列变量中找出比x高阶的无穷小量:sin⁡2x, cos⁡x-1,ln(1-x2), e2x-1, sin2 x
下一篇:利用直线的直观定义,求下列极限:

最新文章

  • 小张与小李是一对夫妻,二人来自不同的外省县城,通过卓绝努力考大学进而留在省城工作。结婚后,双方类似的成长经历使他们达成共识:一定
  • 19世纪,向中国大肆走私鸦片的主要国家是()
  • 请结合具体事例,阐述中国传统工艺的创新方法。
  • 服务的流程是
  • 贯彻落实“安全第一,预防为主”方针的主要手段是
  • 项目可行性研究之后,要撰写项目建议书。
  • blood type
  • 中国共产党第一次明确提出反帝反封建民主革命纲领的会议是( )。
  • 素混凝土结构的混凝土强度等级不应低于
  • 昼から天気が_____なりました。

推荐文章

友情链接