首页
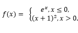
求下列函数在x=0处的左极限与右极限,并说明在x=1处的极限是否存在.
2024-11-07 12:08:02
直播电商(实践)(14893)
求下列函数在x=0处的左极限与右极限,并说明在x=1处的极限是否存在.
【正确答案】:
上一篇:
利用直线的直观定义,求下列极限:
下一篇:
求下列极限: