首页
求下列极限:
2024-11-07 12:07:58
直播电商(实践)(14893)
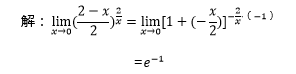
求下列极限:
【正确答案】:
上一篇:
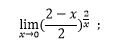
求下列极限:
下一篇: