首页
求下列极限:
2024-11-07 12:07:56
直播电商(实践)(14893)
1
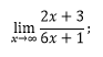
求下列极限:
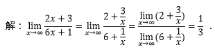
【正确答案】:
上一篇:
判断下列数列的极限是否存在,若存在,求出极限值.{((-1)n)};
下一篇:
求下列极限: