首页
2024-11-07 12:07:52
直播电商(实践)(14893)
1
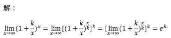
【正确答案】:
上一篇:
下一篇:
利用直线的直观定义,求下列极限: