首页
2024-11-07 12:07:49
直播电商(实践)(14893)
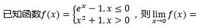
A、-1
C、1
D、不存在
【正确答案】:D
【题目解析】:
上一篇:
下一篇: