首页
当x→3-时,下列函数中为无穷小量的是
2024-11-07 12:07:26
直播电商(实践)(14893)
1
当x→3
-
时,下列函数中为无穷小量的是
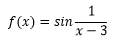
A、
B、f(x)=ln(3-x)
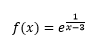
C、
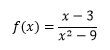
D、
【正确答案】:A
【题目解析】:
上一篇:
下一篇:
当x→0时,下列函数中与x是等价无穷小的是