首页
求下列函数的反函数(不求定义域):f(x)=2x/(2x+1 )
2024-11-07 12:07:12
直播电商(实践)(14893)
求下列函数的反函数(不求定义域):f(x)=2
x
/(2
x
+1 )
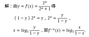
【正确答案】:
上一篇:
下列函数中,哪些是奇函数?哪些是偶函数? f(x)=2x+2-x
下一篇:
下列函数中,哪些是奇函数?哪些是偶函数?f(x)=ln (1-x)/(1+x)