首页
2024-11-07 12:07:01
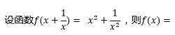
直播电商(实践)(14893)
A、
B、
C、
D、
【正确答案】:B
【题目解析】:
上一篇:
函数f(x)=arcsin((x-1)/2)的定义域为
下一篇: