首页
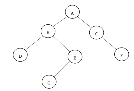
分别写出下图所示的二叉树的先序遍历、中序遍历和后序遍历三种访问方式的结点访问序列。
2024-11-07 07:43:50
数据结构(13181)
1
分别写出下图所示的二叉树的先序遍历、中序遍历和后序遍历三种访问方式的结点访问序列。
【正确答案】:【答案】
先序遍历:ABDEGCF
中序遍历:DBGEACF
后序遍历:DGEBFCA
解析:先序遍历:根→左→右;中序遍历:左→根→右;后序遍历:左→右→根。
上一篇:
已知二叉链表的类型定义如下:Typedef struct btnode{DataType data;struct btnode
下一篇:
设有字符集{A,B,C,D,E,F},各字符使用频率对应为{2,4,5,13,9,18},试画出哈夫曼树(要求任一结点的左孩子权