首页
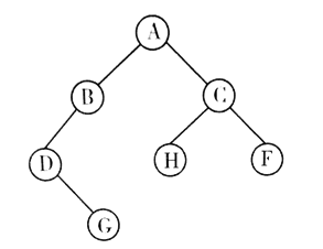
已知一棵二叉树如图所示,试求该二叉树的先序遍历序列、后序遍历序列。
2024-11-07 07:43:41
数据结构(13181)
已知一棵二叉树如图所示,试求该二叉树的先序遍历序列、后序遍历序列。
【正确答案】:【答案】先序遍历序列为ABDGCHF
后序遍历序列为GDBHFCA
解析:先序遍历:根→左→右
后序遍历:左→右→根。
上一篇:
已知一个7×6的稀疏矩阵如图所示,试写出该稀疏矩阵的三元组表示。
下一篇:
已知散列表的地址空间为0~10,散列函数为H(key)=key mod 11(mod表示求余运算),采用二次探测法解决冲突,试用