首页
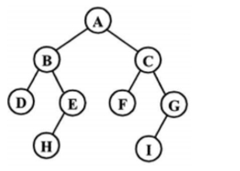
设二叉树T的前序遍历序列是ABDEHCFGI,中序遍历序列是DBHEAFCIG,请画出树T。
2024-11-07 01:34:54
数据结构与算法(13003)
设二叉树T的前序遍历序列是ABDEHCFGI,中序遍历序列是DBHEAFCIG,请画出树T。
【正确答案】:
上一篇:
二叉树的二叉链表类型定义如下:typedef struct node{int data;struct node *lchild,
下一篇:
求下图所示连通网的最小生成树,并计算最小生成树的权。