首页
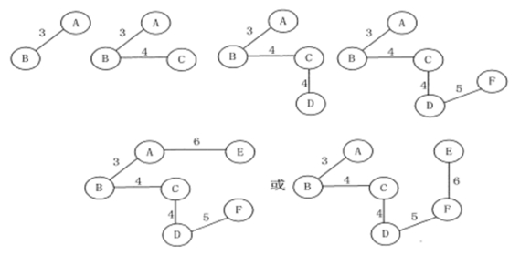
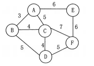
给定6个顶点的无向网络如下图所示,使用克鲁斯卡尔(Kruskal)算法求网络的最小生成树T,列出T的构造过程。
2024-11-07 01:34:12
数据结构与算法(13003)
给定6个顶点的无向网络如下图所示,使用克鲁斯卡尔(Kruskal)算法求网络的最小生成树T,列出T的构造过程。
【正确答案】:
上一篇:
已知散列函数为H(key)=key%9,现将关键字序列(13,17,24,36,28,10,18)依次散列到散列表HT[9]中,
下一篇:
下列程序段中队列CirQueue和栈SeqStack中的数据元素均为int型,请指出该程序段的功能是什么。void f30(Ci