首页
二叉排序树的存储结构类型定义如下。(1)设二叉排序树T如下图所示:给出执行语句:f32(T,14,50);输出结果。(2)函数f
2024-11-07 01:34:03
数据结构与算法(13003)
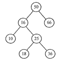
二叉排序树的存储结构类型定义如下。
(1)设二叉排序树T如下图所示:
给出执行语句:
f32(T,14,50);
输出结果。
(2)函数f32()的功能是什么?
【正确答案】:(1)16 18 25 36 50
(2)查找二叉排序树T中所有满足大于等于K1且小于等于K2的元素,并按升序输出。
上一篇:
设有二叉排序树T如下图所示。请回答下列问题。(1)画出插入新结点f后的二叉排序树T1。(2)在T1中再删除结点c得到二叉排序树T
下一篇:
已知二叉排序树结点的数据类型定义及二叉排序树的某个算法f32()如下。typedef struct node{ int data