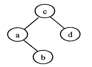
设有二叉排序树T如下图所示。请回答下列问题。
(1)画出插入新结点f后的二叉排序树T1。
(2)在T1中再删除结点c得到二叉排序树T2,画出T2,并简要说明删除过程。
【正确答案】:
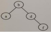
(1)
(2)
删除原理:用被删结点的(中序)直接前驱替代被删结点。
删除过程:①在结点c的左子树中选择最大的结点b,用b替换结点c;
②删除结点b。
设有二叉排序树T如下图所示。请回答下列问题。
(1)画出插入新结点f后的二叉排序树T1。
(2)在T1中再删除结点c得到二叉排序树T2,画出T2,并简要说明删除过程。
(1)
(2)
删除原理:用被删结点的(中序)直接前驱替代被删结点。
删除过程:①在结点c的左子树中选择最大的结点b,用b替换结点c;
②删除结点b。