• 首页

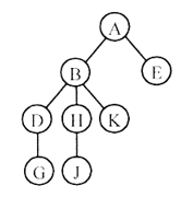
请画出下图所示的二叉树对应的树或森林。

  • 2024-11-07 01:33:41
  • 数据结构与算法(13003)

请画出下图所示的二叉树对应的树或森林。


【正确答案】:
上一篇:已知二叉树T的前序遍历序列为:a d b c e,中序遍历序列为:d a c e b。请回答下列问题。(1)画出对应的二叉树T。
下一篇:设电文字符集是{e1,e2,e3,e4,e5,e6},它们出现的次数分别为:38,12,17,26,14,20。现要为该字符集设

最新文章

  • 小张与小李是一对夫妻,二人来自不同的外省县城,通过卓绝努力考大学进而留在省城工作。结婚后,双方类似的成长经历使他们达成共识:一定
  • 19世纪,向中国大肆走私鸦片的主要国家是()
  • 请结合具体事例,阐述中国传统工艺的创新方法。
  • 服务的流程是
  • 贯彻落实“安全第一,预防为主”方针的主要手段是
  • 项目可行性研究之后,要撰写项目建议书。
  • blood type
  • 中国共产党第一次明确提出反帝反封建民主革命纲领的会议是( )。
  • 素混凝土结构的混凝土强度等级不应低于
  • 昼から天気が_____なりました。

推荐文章

友情链接