首页
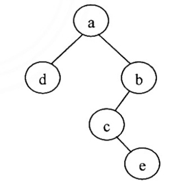
已知二叉树T的前序遍历序列为:a d b c e,中序遍历序列为:d a c e b。请回答下列问题。(1)画出对应的二叉树T。
2024-11-07 01:33:39
数据结构与算法(13003)
已知二叉树T的前序遍历序列为:a d b c e,中序遍历序列为:d a c e b。请回答下列问题。
(1)画出对应的二叉树T。
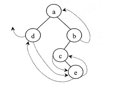
(2)建立并画出二叉树T的后序线索。
【正确答案】:
(1)二叉树
(2)后序线索
上一篇:
已知二叉树T的前序遍历序列是A,B,C,D,E,L,M,O,N,中序遍历序列是C,B,E,D,A,M,O,L,N,请画出T。
下一篇:
请画出下图所示的二叉树对应的树或森林。