二叉树的存储结构类型定义如下。
typedef int DataType;
typedef struct node
{DataType data; //data是数据域
struct node *lchild,*rchild; //分别指向左右孩子
}BinTNode;
typedef BinTNode *BinTree;
阅读下列函数并回答问题。
void f31(BinTree Bt)
{if(Bt!=NULL)
{if(Bt-> lchild==NULL&&Bt-> rchild==NULL)
Bt-> data=Bt-> data*2;
else
{f31(Bt-> lchild);
f31(Bt-> rchild);
}
}
}
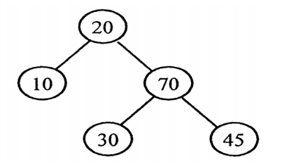
(1)设二叉树Bt如下图所示,给出执行f31(Bt)的输出结果。
(2)该算法的功能是什么?
【正确答案】:
(1)
(2)将二叉树所有叶结点的值加倍。