首页
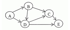
对下图进行拓扑排序,可以得到的拓扑序列是()。
2024-11-07 01:32:47
数据结构与算法(13003)
对下图进行拓扑排序,可以得到的拓扑序列是()。
A、BADCE
B、BACDE
C、ACBDE
D、ABDCE
【正确答案】:D
【题目解析】:A、B选项,B的入度不为0;C选项,输出A后C的入度不为0。
上一篇:
下列排序方法中,不稳定的是()。
下一篇:
下列选项中,能使用二分查找算法的是()。