首页
按行优先顺序将n阶对称矩阵中下三角的元素aij保存在一维数组sa中,则数组元素aij(0≤i,j≤n-1)在sa[k]中的存储位
2024-11-07 01:32:14
数据结构与算法(13003)
1
按行优先顺序将n阶对称矩阵中下三角的元素a
ij
保存在一维数组sa中,则数组元素a
ij
(0≤i,j≤n-1)在sa[k]中的存储位置k是()。
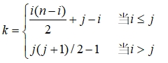
A、
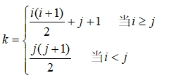
B、
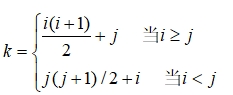
C、
D、
【正确答案】:A
【题目解析】:以行序为主序,上三角部分不存储。
上一篇:
一组记录的关键字为(35,58,24,13,44,19,10),利用堆排序算法进行降序排序,要求空间复杂度为O(1),建立的初始
下一篇:
对数据进行分块查找的基本条件是()。