首页
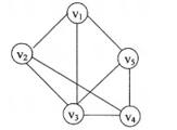
下列选项中,能构成下图中一条深度优先搜索遍历序列的是()。
2024-11-07 01:31:57
数据结构与算法(13003)
下列选项中,能构成下图中一条深度优先搜索遍历序列的是()。
A、v
1
v
2
v
4
v
5
v
3
B、v
1
v
2
v
5
v
3
v
4
C、v
2
v
3
v
1
v
4
v
5
D、v
2
v
1
v
4
v
5
v
3
【正确答案】:A
【题目解析】:图的深度优先搜索类似于树的先序遍历。
上一篇:
对下图进行广度优先搜索遍历,下列选项中,正确的遍历序列是()。
下一篇:
有向图G采用逆邻接表存储,其顶点表中空指针的个数等于()。