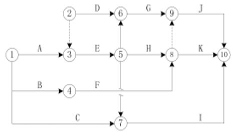
下列双代号网络图中,存在的绘图错误有()
A、存在多个起点节点
B、箭线交叉的方式错误
C、存在相同节点编号的工作
D、存在没有箭尾节点的箭线
E、存在多余的虚工作
【正确答案】:ABE
【题目解析】:网络图绘图规则,会识图:1)一项工作应当只有唯一的一条箭线和相应的一对节点,且要求箭 尾节点的编号小于其箭头节点的编号;2)不允许出现循环回路;3)在节点之间不能出现带双向箭头或无箭头 的连线;4)不能出现没有箭头节点或没有箭尾节点的箭线;5)箭线不宜交叉。当交叉不可避免时,可用过桥 法或指向法;6)双代网络图中应只有一个起点节点和一个终点节点;7)网络图节点的编号顺序应从小到大,可不连续,但不允许重复。