首页
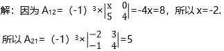
,求元素a12的代数余子式A21的值。
2024-11-06 11:42:00
九十年代小说研究(10472)
,求元素a
12
的代数余子式A
21
的值。
【正确答案】:
上一篇:
下一篇:
,其中A4j是a4j的代数余子式(j=1,2,3,4)。